문제
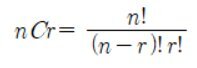
설명

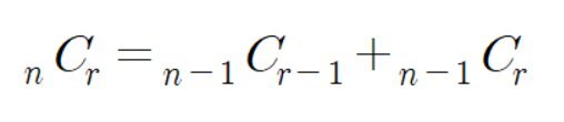
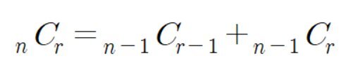
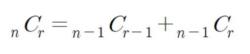
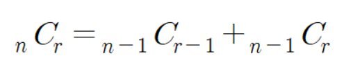
로 계산합니다.
하지만 여러분은 이 공식을 쓰지않고 다음 공식을 사용하여 재귀를 이용해 조합수를 구해주는 프로그램을 작성하세요.

입력
첫째 줄에 자연수 n(3<=n<=33)과 r(0<=r<=n)이 입력됩니다.
출력
첫째 줄에 조합수를 출력합니다.
예시 입력 1
5 3
예시 출력 1
10
예시 입력 2
33 19
예시 출력 2
818809200
내 풀이 = 선생님 풀이
import java.util.Scanner;
public class Main8_7 {
static int[][] m;
public int DFS(int n, int r){
if(m[n][r]>0) return m[n][r];
if(n==r || r==0) return 1;
else return m[n][r] = DFS(n-1, r-1) + DFS(n-1, r);
}
public static void main(String[] args) {
Main8_7 T = new Main8_7();
Scanner sc = new Scanner(System.in);
int n = sc.nextInt();
int r = sc.nextInt();
m = new int[n+1][n+1];
T.DFS(n, r);
System.out.println(m[n][r]);
}
}
예전에 피보나치 재귀에서 "메모이제이션"에 대한 개념을 접했기 때문에 응용해서 풀 수 있었다.
조합이 서로 다른 n개 중 r개를 선택하는 경우의 수를 구하는 것이니까,
if(n==r) : 서로 다른 2개 중 2개를 선택하는 경우의 수 ==> 1가지(2개 모두 뽑는다)
if(r==0) : 서로 다른 n개 중 0개를 선택하는 경우의 수 ==> 1가지(아무것도 뽑지 않는다)
그리고 메모이제이션 배열m에서 0보다 큰 값이 들어왔을 때 (즉, 이미 이전에 재귀호출 되어 값이 저장되어 있는 경우)
다시 계산하는 것이 아니라 해당 값을 리턴해주면서 계산 시간을 줄이는 것까지 알아두면 좋을 문제인 것 같다.
결과

'Algorithm > Inflearn' 카테고리의 다른 글
| [Inflearn] 자바 알고리즘 문제풀이 #08-09 9. 조합 구하기(DFS) (0) | 2023.04.24 |
|---|---|
| [Inflearn] 자바 알고리즘 문제풀이 #08-08 8. 순열 추측하기(DFS, 조합, 메모이제이션) (1) | 2023.04.21 |
| [Inflearn] 자바 알고리즘 문제풀이 #08-05 5. 동전교환(DFS) (0) | 2023.04.13 |
| [Inflearn] 자바 알고리즘 문제풀이 #08-04 4. 중복순열 구하기(DFS) (0) | 2023.04.12 |
| [Inflearn] 자바 알고리즘 문제풀이 #08-03 3. 최대점수 구하기(DFS) (0) | 2023.04.11 |