방향그래프가 주어지면 1번 정점에서 N번 정점으로 가는 모든 경로의 가지 수를 출력하는 프로그램을 작성하세요.
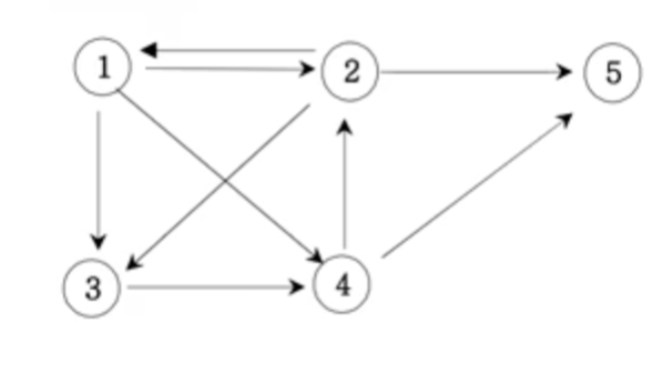
아래 그래프에서 1번 정점에서 5번 정점으로 가는 가지 수는 총 6가지입니다.

1 2 3 4 5
1 2 5
1 3 4 2 5
1 3 4 5
1 4 2 5
1 4 5
입력
첫째 줄에는 정점의 수 N(1<=N<=20)와 간선의 수 M가 주어진다.
그 다음부터 M줄에 걸쳐 연결정보가 주어진다.
출력
총 가지수를 출력한다.
예시 입력 1
5 9
1 2
1 3
1 4
2 1
2 3
2 5
3 4
4 2
4 5
예시 출력 1
6
경로 탐색(인접행렬)
코드
import java.util.Scanner;
public class 경로탐색DFS_인접행렬 {
static int n, m, answer=0;
static int[][] graph;
static int[] ch;
public void DFS(int v){
if(v==n) answer++;
else {
for (int i = 1; i <= n; i++) {
if(graph[v][i]==1 && ch[i]==0) { //간선이 있고, 탐색하지 않은 노드인 경우
ch[i]=1;
DFS(i);
ch[i]=0;
}
}
}
}
public static void main(String[] args) {
경로탐색DFS_인접행렬 T = new 경로탐색DFS_인접행렬();
Scanner sc = new Scanner(System.in);
n = sc.nextInt();
m = sc.nextInt();
graph = new int[n+1][n+1];
ch = new int[n+1];
for (int i = 0; i < m; i++) { //인접행렬
int a = sc.nextInt();
int b = sc.nextInt();
graph[a][b] = 1;
}
ch[1] = 1;
T.DFS(1);
System.out.println(answer);
}
}

재귀적으로 호출하기 위해 확인해야 할 조건
1) graph에서 정점 사이에 간선이 있는가? ==> 인접행렬 graph에서 확인
2) 이전에 방문한 노드인가? ==> ch 배열 확인 (1인 경우 방문, 0인 경우 미방문)
DFS() 호출 후 해당 정점의 ch 배열의 값을 0으로 바꿔줘야 다음 경로를 찾을 때 해당 정점을 고려할 수 있음.
경로 탐색(인접리스트)
n이 커질수록 인접행렬을 사용했을 때 성능이 떨어진다(메모리도 많이 차지하고, 시간복잡도도 떨어짐)
이 경우 인접리스트를 사용해 해당 정점과 연결되어 있는 정점들만 확인하는 방법을 사용하면 된다.
코드
import java.util.ArrayList;
import java.util.Scanner;
public class 경로탐색DFS_인접리스트 {
static int n, m, answer=0;
static ArrayList<ArrayList<Integer>> graph;
static int[] ch;
public void DFS(int v){
if(v==n) answer++;
else {
for(int nv : graph.get(v)) {
if(ch[nv]==0) {
ch[nv]=1;
DFS(nv);
ch[nv]=0;
}
}
}
}
public static void main(String[] args) {
경로탐색DFS_인접리스트 T = new 경로탐색DFS_인접리스트();
Scanner sc = new Scanner(System.in);
n = sc.nextInt();
m = sc.nextInt();
graph = new ArrayList<ArrayList<Integer>>();
ch = new int[n+1];
for (int i = 0; i <= n; i++) { //인접리스트
graph.add(new ArrayList<Integer>());
}
ch[1] = 1;
for (int i = 0; i < m; i++) {
int a = sc.nextInt();
int b = sc.nextInt();
graph.get(a).add(b);
}
T.DFS(1);
System.out.println(answer);
}
}

ArrayList<Integer>를 담을 수 있는 ArrayList를 만들어 정점 사이 연결 정보를 저장한다.
graph.get(1)이라고 하면 정점 1에 연결되어 있는 2 - 3 - 4를 반환해 주어, 반환된 정점들에 순차적으로 접근할 수 있게 된다.
JAVA의 경우 포인터가 없어서 불편하지만, 이렇게 ArrayList를 담을 수 있는 ArrayList를 사용하면 된다.
for (int i = 0; i <= n; i++) {
graph.add(new ArrayList<Integer>());
}
코드를 통해 헤드 포인터가 되는 정점, 해당 정점과 연결된 정점들의 정보를 가진 정점을 생성해주고
for (int i = 0; i < m; i++) {
int a = sc.nextInt();
int b = sc.nextInt();
graph.get(a).add(b);
}
코드를 통해 입력된 연결 정보를 통해 그림의 인접리스트를 완성한다.
결과

출처 : 인프런 자바 알고리즘 문제풀이 입문 : 코딩테스트 대비
'Language > JAVA' 카테고리의 다른 글
| 자바 클래스와 객체 관계에서 스프링적 사고하기 (1) | 2023.12.17 |
|---|---|
| [JAVA] 자바 그래프 최단거리(BFS) (0) | 2023.03.29 |
| [JAVA] 자바 그래프와 인접행렬 (0) | 2023.03.26 |
| [JAVA] 자바 피보나치 재귀 (메모이제이션) (0) | 2023.03.20 |
| [JAVA] 자바 최단경로 알고리즘(Shortest Path) Tree 말단 노드까지의 가장 짧은 경로 (0) | 2023.03.18 |